How to Implement SWaP-C Satcom Antenna Arrays Using SMD Power Dividers and Directional Couplers
Contributed By DigiKey's North American Editors
2022-05-17
The space around the Earth is filling fast, and thousands more new satellites are due for launch in the next decade. That’s putting pressure on satellite communications (satcoms) designers from two sides. First, available bandwidth for satcoms in the traditional L, C and X bands is fast being used up. Secondly, commercial satellite builders want their products to be lighter and cheaper to launch.
Satcom designers are responding to the lack of RF bandwidth by moving communications from the traditional satellite bands to higher frequency RF bands such as Ku (12 to 18 gigahertz (GHz)). The Ku band offers the potential for greater throughput and is much less congested. With respect to the demand for minimal size, weight, power, and cost (“SWaP-C”), designers are responding by building key elements of the satellite, such as the antenna array, using advanced packaged surface mount devices (SMDs).
This article outlines the benefits of SMD power dividers and directional couplers, key passive elements used in Ku band satcom antenna arrays. The article introduces example devices from Knowles Dielectric Labs, describes how these components meet today’s low-SWaP demands, and how designers can use key performance characteristics of these vital components to optimize antenna array performance.
Advances in antenna arrays
Recent developments in satellite and ground station antennas have seen a move away from single-antenna dishes to antenna arrays. Antenna arrays combine two or more elements, each of which essentially perform as mini antenna. The benefits of antenna arrays compared to a conventional antenna for satcoms applications include:
- Higher gain
- Increased signal-to-noise ratio (SNR)
- Steerable transmission beams and enhanced sensitivity to incoming signals from a particular direction
- Better diversity reception (helps overcome signal fading)
- Smaller side lobes in the antenna radiation pattern
The conventional array structure comprises a 3D-brick configuration made up of electronic assemblies placed side-by-side and attached using multiple connectors and cables. This increases the bulk and complexity of an antenna array, compared with single-antenna dishes.
The solution to this bulk and complexity has come from a focus on low SWaP-C that eliminates the brick-like structure resulting from chip-and-wire or hybrid fabrication techniques. Newer designs are made up of multiple microstrip 2D planar elements based on a pc board substrate using SMD packaging. This planar configuration removes the need for many connectors and cables, enhancing SWaP while increasing reliability and simplifying manufacturing (Figure 1).
Figure 1: The use of low SWaP-C SMD components (right) allows for a reduction in the bulk of satcom antenna arrays compared with a conventional 3D brick assembly (left). (Image source: Knowles DLI)
SMDs not only considerably reduce the bulk of the antenna array, but they also allow for the use of a single automated assembly line, dramatically reducing the cost of production compared to a conventional chip-and-wire or hybrid approach. SMD assembly also helps accelerate time to market.
Such advances have been made possible because of a new generation of SMD components that can perform reliably in space at high operational frequencies. The devices feature innovative dielectrics, tight tolerance, thin-film manufacturing, and novel microstrip line topologies to provide a high performance/footprint ratio.
Key antenna array components: power divider
A critical passive SMD in the antenna array is the power divider. Individual power dividers split an incoming signal into two or more signals to distribute across the antenna elements making up the array. In its simplest form, the power divider splits the input power (minus some circuit losses) evenly across each output leg, but other forms of power dividers enable the input power to be proportionally shared across the output legs.
There are several power divider configurations, but for high-frequency applications, power dividers typically take the form of a microstrip line Wilkinson design (Figure 2). In the basic form, each leg of the divider measures one quarter the wavelength of the incoming RF signal. For example, for an incoming signal with a center frequency of 15 GHz, each leg would be 5 millimeters (mm) in length. The legs operate as quarter-wavelength impedance transformers.
An isolating resistor is used to match the output ports; because there is zero potential between the output ports, no current flows through the resistor so it doesn’t contribute to resistive losses. The resistor also provides excellent isolation, even when the device is used in reverse (as a power combiner), thereby limiting crosstalk between individual channels.
Figure 2: The basic Wilkinson power divider uses two quarter wavelength impedance transformers and an isolating resistor to match the output ports. Ports 2 and 3 each deliver half the Port 1 input power. (Image source: Knowles DLI)
To limit losses as the power is being split, the two output ports of the power divider must each appear as an impedance of 2 Zo. (The 2 Zo in parallel will present an overall impedance of Zo.)
For an equal power distribution with R = 2 Zo, then:

Where:
R = the value of the terminating resistor connected between the two ports
Zo = the characteristic impedance of the overall system
Zmatch = the impedance of the quarter wave transformers in the legs of the power divider
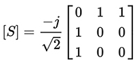
A scattering matrix (S matrix) contains the scattering parameters used to describe the electrical performance of an RF linear network such as a Wilkinson power divider. Figure 3 shows the S matrix for the simple form of power divider shown in Figure 2.
Figure 3: Scattering matrix (S matrix) for the Wilkinson power divider shown in Figure 2. (Image source: Steven Keeping)
Key characteristics of the S matrix include the following:
- Sij = Sji (showing the Wilkinson power divider can also be used as a combiner)
- The terminals are matched (S11, S22, S33 = 0)
- The output terminals are isolated (S23, S32 = 0)
- The power is equally split (S21 = S31)
Losses are minimized when the signals at Ports 2 and 3 are in phase and have equal magnitude. An ideal Wilkinson power divider delivers S21 = S31 = 20 log10(1/√2) = (-)3 decibels (dB) (i.e., half the input power at each output port).
Microstrip line Wilkinson power dividers are a good solution for low SWaP-C antenna array applications. Commercial options for the Ku band include Knowles Dielectric Labs’ PDW06401 16 GHz two-way Wilkinson power divider. Knowles dielectric and thin-film manufacturing know-how have allowed it to fabricate a low-loss, yet compact SMD for service with Ku band satcom antenna arrays.
The PDW06401 measures 3 x 3 x 0.4 mm and uses low-loss materials that minimize performance variation over a wide temperature range. The package’s characteristic impedance (Z0) matches the 50-ohm (Ω) requirement needed to minimize the voltage standing wave ratio (VWSR), and hence return losses in high-frequency RF systems. The device features zero nominal phase shift, an amplitude balance of ±0.25 dB and a phase balance of ± 5°. Excess insertion losses are 0.5 dB. Figure 4 illustrates the PDW06401 power divider’s frequency response.
Figure 4: The PDW06401’s power divider frequency response. RL represents terminal matching (S11, S22, etc.), Iso is the isolation between output ports (S23, S32) and IL is the output power (S21, S31). (Image source: Knowles DLI)
The return loss, isolation, amplitude balance, and phase balance characteristics of a power divider are critical to the performance of the antenna array in the following ways:
- The return loss of the product should be low because greater losses directly compromise maximum transmitted or received beam energy.
- Product isolation should be high because this impacts the isolation between signal paths in the antenna array and enhances its gain.
- The device’s amplitude balance should approach 0 dB as it affects the amplitude performance and Effective Isotropic Radiated Power (EIRP) of the antenna.
- The device’s phase balance should approach 0° difference as this promotes maximum power transfer and ensures intended phase length for all branches across the network. A large phase imbalance will deteriorate EIRP and potentially change the radiation pattern of a beam-forming antenna array.
Key antenna array components: directional coupler
The directional coupler is another component that performs an important role in antenna arrays by consistently measuring the transmit and receive power of the array elements. The directional coupler is a passive device which couples a known amount of transmission or receive power through to another port from where it can be measured. The coupling is typically achieved by positioning two conductors close to each other such that the energy passing through one line is coupled to the other.
The device has four ports: input, transmitted, coupled and isolated. The main transmission line is situated between Ports 1 and 2. The isolated port is terminated with an internal or external matched load (typically 50 Ω), while the coupled port (3) is used to tap the coupled energy. The coupled port typically delivers a fraction of the energy of the main line and often features a smaller connector to distinguish it from the main line Ports 1 and 2. The coupled port can be used to obtain signal power level and frequency information without interrupting the main power flow in the system. Power entering the transmitted port flows to the isolated port and does not affect the output of the coupled port (Figure 5).
Figure 5: The coupled port (P3) of a power divider passes on some fraction of the power delivered to the input port (P1), with the rest passing through the transmitted port (P2). The isolated port (P4) is terminated with an internal or external matched load. (Image source: Spinningspark at Wikipedia)
The key characteristic of a coupler is the coupling factor.
This is defined as:

The simplest form of coupler features a right-angled topology whereby the coupled lines run adjacent for one quarter of the wavelength of the input signal (e.g., 5 mm for a 15 GHz signal). This type of coupler typically produces half the input power at Port 3 (i.e., it has a coupling factor of 3 dB), with the power at the transmitted port also reduced by 3 dB. (Figure 6).
Figure 6: The simplest form of directional coupler features coupling lines running adjacent for a quarter wavelength of the input signal frequency. (Image source: Spinningspark at Wikipedia)
As is the case with the power divider, there are some key characteristics of the directional coupler that impact the performance of the antenna array. These characteristics include the following:
- The main line loss should be minimized to enhance antenna array gain. This loss is due to resistive heating of the main line and is separate to the coupling loss. The total main line loss is the combination of resistive heating loss plus coupling loss.
- The coupling loss is the reduction in power due to the energy transferred to the coupled and isolated ports. Assuming a reasonable directivity, the power transferred unintentionally to the isolated port should be negligible compared to that transferred intentionally to the coupled port.
- The return loss should be minimized. This is a measure of the amount of the signal that is returned or reflected by the directional coupler.
- The insertion loss should also be minimized. This is the ratio of a signal level in a test configuration without the directional coupler present, compared to that when the component is present.
- Isolation should be maximized. This is the power level difference between the input port and the isolated port.
- The directivity should be maximized. This is the power level difference between Port 3 and Port 4 of the directional coupler and is related to isolation. It is a measure of the independence of the coupled and isolated ports.
While RF directional couplers can be implemented using a variety of techniques, it is the microstrip line type that are finding favor in low SWaP-C satcom applications because of their small size. One example is Knowles’ FPC06078 directional coupler. The device is an SMD microstrip line device that measures 2.5 x 2.0 x 0.4 mm. It has an operating temperature range of -55°C to +125°C and a characteristic impedance of 50 Ω.
While the coupling factor is frequency dependent, a high-quality directional coupler will exhibit a relatively flat coupling frequency response. From Figure 7 below, it can be seen that the Knowles device exhibits a nominal coupling factor of 20 dB, which varies by only 2 dB across an operational range of 12 to 18 GHz. The FPC06078 directional coupler features an insertion loss of 0.3 dB and a minimum return loss of 15 dB. The device’s directivity is 14 dB (Figure 8).
Figure 7: Shown is the frequency response of the FPC06078 directional coupler. The device exhibits a nominal coupling factor of -20 dB and a low insertion loss of 0.3 dB. (Image source: Knowles DLI)
Figure 8: Shown is a graph of the FPC06078 directional coupler’s directivity. For higher antenna array performance, the directivity, which is related to isolation, should be maximized. (Image source: Knowles DLI)
Conclusion
Designers are responding to the demand for low SWaP-C in satcom applications by employing compact SMD passive components. Examples include the power dividers and directional couplers used in the fabrication of the satellite’s antenna arrays.
By selecting good quality compact SMD passive devices—that promise superior performance through microstrip line construction and ceramic materials with high dielectric capabilities—designers can take advantage of higher frequency RF bands for satcom applications. Moreover, this new generation of SMD power dividers and directional couplers enables designers to come up with smaller and lighter antenna arrays, while simultaneously enhancing the antennas’ gain and beam forming capabilities.
Disclaimer: The opinions, beliefs, and viewpoints expressed by the various authors and/or forum participants on this website do not necessarily reflect the opinions, beliefs, and viewpoints of DigiKey or official policies of DigiKey.


