Build a More Accurate Wireless Ranging Solution for Contact Tracing
Contributed By DigiKey's North American Editors
2020-08-26
Wireless ranging can provide a critical enabler for automated contact tracing to help identify and analyze outbreaks of contagious diseases like COVID-19 that can be transmitted by close contact. Conventional ranging methods using Bluetooth Low Energy (BLE) can provide accurate data in theory, but practical limitations of radio frequency (RF) signal transmission can impact that accuracy. As the need grows for more effective methods to help contain the spread of COVID-19, developers are looking for alternatives to conventional methods to deliver maximum accuracy while still balancing cost and ease of deployment.
To meet these needs, a software solution has been developed by Dialog Semiconductor that leverages currently available and deployed BLE technology and infrastructure. Once implemented as a software upgrade to the company’s BLE system-on-chip (SoC) devices, the solution enables more accurate, radar-like wireless ranging.
This article describes how contact tracing works. It then introduces Bluetooth devices and accompanying software from Dialog Semiconductor that offer a more accurate solution for implementing the accurate wireless ranging required for contract tracing and other proximity detection applications.
Why contact tracing is vital for containing COVID-19
Limiting the spread of contagious diseases is a cornerstone of epidemiology and is particularly critical in managing the health of populations facing a new virus like severe acute respiratory syndrome coronavirus 2 (SARS-CoV-2), which causes COVID-19 disease. One of the most effective tools for reducing outbreaks is the use of contact tracing practices.
Contact tracing sounds straightforward in principle: identify and notify individuals who have recently come in close proximity to a contagious person and may themselves be infected. In practice, the contact tracing workflow is quite involved, typically relying on a large staff of case workers to interview infected individuals and to notify and assist those who might be at risk for subsequent infection (Figure 1). When these notified individuals further limit their contact with others, the chain of transmission of the virus is disrupted.
Figure 1: The Centers for Disease Control and Prevention (CDC) recommends a contact tracing workflow that builds on a list of contacts provided by an infected individual to notify individuals who may need to self-quarantine during the 14-day period recommended for putative COVID-19 infections. (Image source: CDC)
The need for rapid identification and notification of a possible infection is particularly important for COVID-19, where researchers are still working to gain a full understanding of its modes of transmission and infection. In fact, basic medically relevant facts about COVID-19 were developed only relatively recently. For example, several months after the SARS-CoV-2 virus was identified, epidemiologists confirmed that virus transmission is possible by infected individuals who are not yet presenting COVID-19 symptoms [Furukawa]1.
With the understanding that this type of asymptomatic transmission is possible, early contact tracing became paramount to slow the spread of the COVID-19 pandemic. Using a standard epidemiological modeling method, the CDC COVIDTracer spreadsheet tool demonstrates the impact of early contact tracing on daily cases in a representative population of 100,000 individuals (Figure 2).
Figure 2: A CDC model illustrates how use of different strategies can flatten the curve for new cases found over the course of one year in a population of 100,000. The red dotted line indicates the start of each contact tracing strategy. (Image source: CDC)
As shown in Figure 2, the course of an outbreak can differ significantly depending on the choice of one of three different contact tracing strategies:
- Strategy 1: Start contact tracing with an individual only after that individual has already been presenting COVID-19 symptoms (in this model, 7 days after infection based on research studies).
- Strategy 2: Start contact tracing immediately when the infected individual first shows signs of symptoms (6 days after infection).
- Strategy 3: Start contact tracing immediately when a COVID-19 test identifies an infected individual but before that individual presents symptoms (4 days after infection, when asymptomatic transmission becomes possible according to research studies).
Even when contact tracing begins as soon as an individual becomes contagious (strategy 3), the number of case workers required to perform contact tracing can grow quickly. The CDC model illustrates the growth in staff required for an average of 5 contacts per infected individual case ("Lower" in Figure 3) and for an average of 20 contacts per case ("Upper" in Figure 3).
Figure 3: The CDC model shows how use of different strategies can lower the number of case workers required to perform contact tracing assuming an average of five contacts per case ("Lower”) or 20 contacts per case ("Upper"). (Image source: CDC)
The dual requirements for the earliest possible contact tracing and sufficient staff size have driven efforts to find technological solutions to identify and contact individuals who may have come into close proximity with an infected individual. Rather than requiring infected individuals to remember contacts and case workers to pursue those contacts, an appropriate technological solution can automatically record instances of close proximity with others that may be using the same technology. In fact, this approach can offer a fourth strategy able to retroactively initiate contact tracing with individuals encountered on day 0, when medical research suggests that the infected individuals themselves would have caught the disease from some other contagious individual. As suggested in the figures above, earlier notification of contacts can dramatically flatten the curves of both daily cases and required staff.
Because of its widespread availability on smartphones and other personal mobile electronic devices, Bluetooth immediately became the technology of choice for automated contact tracing. It rapidly emerged as the foundation for mobile apps being developed by a number of collaborative efforts by manufacturers, medical groups, and governmental organizations. In studies of the effectiveness of those apps, however, the limitations of Bluetooth led to disappointing results.
Why automated contact tracing with Bluetooth has been disappointing
In principle, Bluetooth technology would seem to be an ideal solution for automated contact tracing. Its ubiquity ensures broad availability as a delivery platform and its capabilities appear to meet basic requirements for mobile apps intended to record instances of close proximity with other individuals using the same technology.
Recording contact instances requires a minimum of two pieces of information: the distance to the contact and some globally unique ID associated with the contact. Typically implemented as a frequently changing random value, this unique ID is used by high-level application software to notify the contact while maintaining privacy, using different methods beyond the scope of this article.
The Bluetooth advertising protocol offers an existing mechanism for meeting these basic requirements. Provided as a standard feature of Bluetooth protocol stacks, the advertising protocol allows a device to periodically transmit a small payload such as the unique ID with minimal power consumption. A device receiving the advertising protocol packet also receives the received signal strength indicator (RSSI) value, which most wireless radio subsystems provide as a relative measure of signal strength in the range of 0 to 100, or some other upper limit defined by the device manufacturer.
In theory, as distance between a transmitter and receiving device increases, radio strength at the receiver decreases proportional to the distance squared. Accordingly, the associated RSSI value would decrease smoothly and monotonically.
In practice, the relationship between RSSI and distance can vary widely as noted years ago [Gao]2 by the Bluetooth Special Interest Group (SIG), the organization overseeing Bluetooth’s development. Signal reflection, blocking and interference can significantly alter signal strength. As a result, the relationship between RSSI and distance can vary from one sample to the next—even if the transmitter and receiver remain stationary. In a recent study of the effectiveness of Bluetooth RSSI for contact tracing, researchers found that RSSI can rise or fall with no change in physical distance between transmitter and receiver depending on the way smartphones were held by their users or were shielded by their bodies or the way radio signals were reflected, blocked or absorbed by surrounding structures [Leith]3.
Developers have used different strategies in an attempt to smooth the variability in RSSI. Besides simply averaging multiple RSSI measurements, attempts to improve the accuracy of distance measurements using RSSI have employed different filtering methods with limited success. Other contact tracing proposals have suggested use of other radio technologies such as ultrawideband (UWB), but unlike Bluetooth, those lack the ubiquitous installed base needed to achieve immediate widespread use of automated contact tracing apps to help manage COVID-19 outbreaks.
In contrast, Dialog Semiconductor offers a software solution designed to easily upgrade its Bluetooth hardware solutions to provide accurate wireless ranging required for effective contact tracing.
Upgrading a Bluetooth system-on-chip for accurate contact tracing
Dialog Semiconductor's Wireless Ranging (WiRa) Software Development Kit (SDK) works with its DA1469x family of BLE SoC devices to address the need for accurate ranging with existing Bluetooth technology. Designed to meet requirements for a wide range of mobile products, Dialog Semiconductor's BLE SoCs integrate an Arm® Cortex®-M33 and a complete Bluetooth 5 radio subsystem with its own integrated Arm Cortex-M0+-based controller and a comprehensive set of integrated peripherals (Figure 4).
Figure 4: The Dialog Semiconductor DA1469x family of BLE SoCs combine an Arm Cortex-M33 host processor, a dedicated Bluetooth 5 radio system with its own Arm Cortex-M0+, and a comprehensive set of peripherals required for typical wireless mobile products. (Image source: Dialog Semiconductor)
As with any Bluetooth-compatible platform, Dialog Semiconductor's DA1469x family supports standard advertising modes underlying beacon technologies used to deliver location-specific messaging in retail locations. Using the WiRa SDK, however, developers can deploy a radar-like protocol able to achieve a level of ranging accuracy unavailable with conventional Bluetooth RSSI alone. Most important, this added capability can be deployed on existing DA1469x-based devices.
In this enhanced approach for wireless ranging, Bluetooth devices execute the Dialog Tone Exchange (DTE) protocol (Figure 5).
Figure 5: The Dialog Semiconductor WiRa SDK implements radar-like wireless ranging by implementing a DTE data exchange between two connected devices, one serving in a standard Bluetooth Central role and the other in a standard Bluetooth Peripheral role. (Image source: Dialog Semiconductor)
In this protocol, Bluetooth devices connect in pairs using conventional BLE Central and Peripheral roles. The Central device issues a DTE start request, causing both devices to synchronize, and then during a BLE idle period transmit the DTE tone for a specified duration and at a pre-defined set of frequencies. In turn, each device's radio subsystem performs high resolution sampling of the received tone burst and provides in-phase and quadrature (IQ) signal output. Using the IQ samples, each device calculates phase for each burst frequency (called an "atom"), producing a frequency profile specific to that device.
After exchanging its device-specific frequency profile with its counterpart, each device uses that data to calculate distance using one of two methods supported by the WiRa SDK. In the inverse fast Fourier transform (IFFT) method, IFFT calculations transform the frequency profile data to the time domain and map the time delay associated with the peak impulse response into a distance measurement.
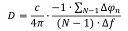
In the phase-based method, calculations use the phase data per atom of both devices to find the phase differences. Using these results, the calculations map the average phase difference to distance (D) in meters (m), according to Equation 1:
Equation 1
Where:
𝑐 = speed of light in meters per second (m/s)
∆𝜑 = phase difference in radians
∆𝑓 = frequency difference in hertz (Hz)
𝑁 = number of atoms
Although the underlying mechanisms and calculations are rather complex, Dialog Semiconductor makes it simple for developers to evaluate this approach and implement it in their own designs. Developers can plug Dialog Semiconductor's DA14695 wireless ranging development kit (DA14695-00HQDEVKT-RANG) into their personal computer USB port and immediately begin exploring wireless ranging functionality using the company's sample software.
Based on the Dialog Semiconductor DA14695 BLE SoC, the wireless ranging kit's board serves as an effective platform for implementing custom software by building on the sample software, or using the WiRa SDK wireless ranging service routines in custom software applications.
Besides its WiRa SDK, Dialog Semiconductor provides a sample social distancing software package that implements enhanced wireless ranging with DTE and provides a set of associated software routines including both IFFT-based and phase-based distance measurement methods. For example, the phase-based calculation routine cwd_calc_distance() shown in Listing 1 is a straightforward implementation of the phase-based distance measurement equation shown above.
Copy
float cwd_calc_distance(float *init_phase_atom, float *refl_phase_atom)
{
float *dd_phi = d_phi; /* reuse d_phi, or: float dd_phi[CWD_N_ATOM_MAX-1];*/
float dd_phi_mean;
int i;
for (i = 0; i < cwd_parm.n_atom; i++)
{
/* phase "difference" between initiator and responder */
d_phi[i] = init_phase_atom[i] + refl_phase_atom[i];
if (i != 0)
{
/* phase difference between neighboring frequencies */
dd_phi[i-1] = d_phi[i] - d_phi[i-1];
}
}
unwrap_phase(dd_phi, cwd_parm.n_atom - 1, 1);
/* average dd_phi */
dd_phi_mean = 0;
for (i = 0; i < cwd_parm.n_atom - 1; i++)
{
dd_phi_mean += dd_phi[i];
}
dd_phi_mean = dd_phi_mean / (cwd_parm.n_atom - 1);
dd_phi_mean = wrap_to_two_pi(dd_phi_mean - CWD_PHASE_OFFSET);
/* distance */
return (dd_phi_mean * CWD_C_AIR/(4 * M_PI * cwd_parm.f_step * 1e6));
}
Listing 1: This calculation routine is a straightforward implementation of the phase-based distance measurement equation shown above. (Code source: Dialog Semiconductor)
Conclusion
Wireless ranging can provide a critical enabler for automated contact tracing to help identify outbreaks of contagious diseases like COVID-19, but conventional Bluetooth protocols have failed to reliably deliver the accurate distance measurements required.
To resolve this issue, a software solution from Dialog Semiconductor offers a more accurate, radar-like wireless ranging solution that can be implemented as a software upgrade to systems based on the company's Bluetooth low energy system-on-chip devices. This approach improves accuracy while containing costs and enabling rapid deployment on currently active devices.
References:
- [Furukawa] Evidence Supporting Transmission of Severe Acute Respiratory Syndrome Coronavirus 2 While Presymptomatic or Asymptomatic
- [Gao] Proximity and RSSI
- [Leith] Coronavirus Contact Tracing: Evaluating The Potential Of Using Bluetooth Received Signal Strength For Proximity Detection
Disclaimer: The opinions, beliefs, and viewpoints expressed by the various authors and/or forum participants on this website do not necessarily reflect the opinions, beliefs, and viewpoints of DigiKey or official policies of DigiKey.

